محسن الشهراني Kfupm

أ محسن الشهراني Mohseng Kfupm Twitter

أ محسن الشهراني Mohseng Kfupm Twitter

أ محسن الشهراني Mohseng Kfupm Twitter

أ محسن الشهراني Mohseng Kfupm Twitter

أ محسن الشهراني Mohseng Kfupm Twitter

أ محسن الشهراني Mohseng Kfupm Twitter

Ahmed On Twitter طلاب الاستاذ محسن الشهراني 102 فين ممكن احصل نوتته الله لا يهينكم Kfupm

Ahmed On Twitter طلاب الاستاذ محسن الشهراني 102 فين ممكن احصل نوتته الله لا يهينكم Kfupm

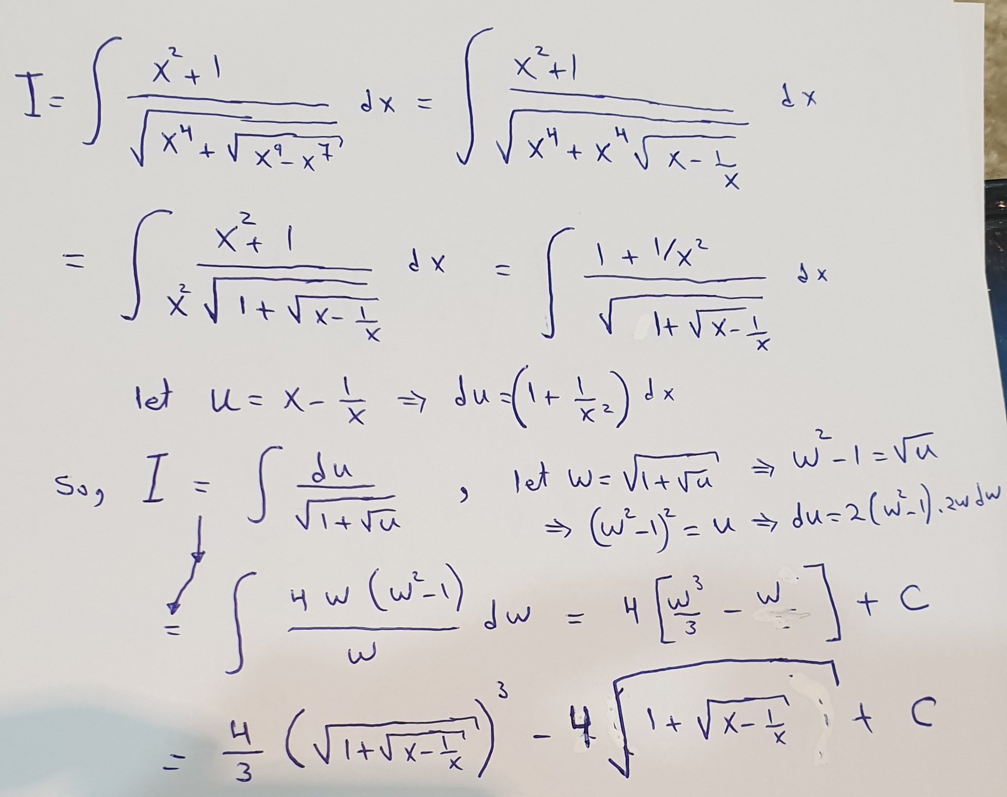
أ محسن الشهراني On Twitter سباق الرياضيات سؤال جميل في التكامل وقد ينفع طلابنا في Kfupm

أ محسن الشهراني On Twitter سباق الرياضيات سؤال جميل في التكامل وقد ينفع طلابنا في Kfupm

أ محسن الشهراني Mohseng Kfupm Twitter

أ محسن الشهراني Mohseng Kfupm Twitter

أ محسن الشهراني Mohseng Kfupm Twitter

لوحة شرف لأفضل دكاترتنا اذكر واشكر أفضل دكاترتك هنا الأرشيف Skfupm

لوحة شرف لأفضل دكاترتنا اذكر واشكر أفضل دكاترتك هنا الأرشيف Skfupm

أ محسن الشهراني Mohseng Kfupm Twitter

أ محسن الشهراني Mohseng Kfupm Twitter

Home University News Details

Home University News Details

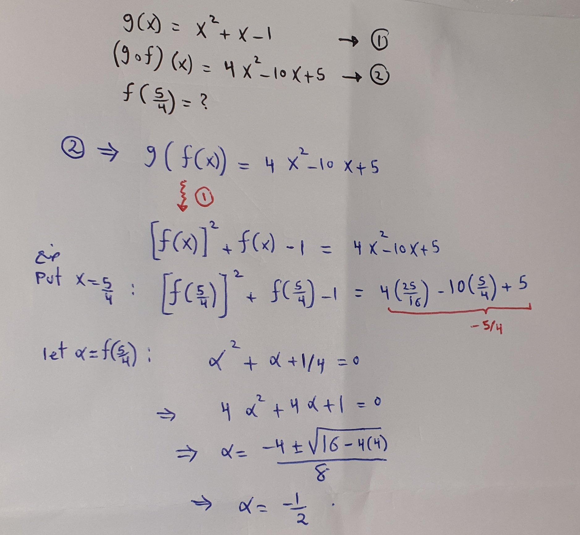
أ محسن الشهراني On Twitter محاولة

أ محسن الشهراني On Twitter محاولة

Home University News Details

Home University News Details

أ محسن الشهراني على تويتر حل سريع لو نقسم فوق وتحت علىx 2 ح نوصل للسطر الثاني فورا لكن ما حبيتها لأن ممكن أحد يجي ويقول حافظ طريقة الحل Https T Co Lik9ywceus

أ محسن الشهراني على تويتر حل سريع لو نقسم فوق وتحت علىx 2 ح نوصل للسطر الثاني فورا لكن ما حبيتها لأن ممكن أحد يجي ويقول حافظ طريقة الحل Https T Co Lik9ywceus

أ محسن الشهراني On Twitter حل ثاني جميل

أ محسن الشهراني On Twitter حل ثاني جميل

Home University News Details

Home University News Details

أ محسن الشهراني على تويتر أبدعتم بحلولكم وهذا حلي المتواضع

أ محسن الشهراني على تويتر أبدعتم بحلولكم وهذا حلي المتواضع

أ محسن الشهراني On Twitter سباق الرياضيات سؤال تكامل للتسلية

أ محسن الشهراني On Twitter سباق الرياضيات سؤال تكامل للتسلية

أ محسن الشهراني On Twitter محاولة

أ محسن الشهراني On Twitter محاولة

أ محسن الشهراني On Twitter محاولة متأخرة

أ محسن الشهراني On Twitter محاولة متأخرة

أ محسن الشهراني בטוויטר سباق الرياضيات سؤال خفيف الشكل Abcd مربع مساحة المثلث Ecf تساوي 5 المطلوب ايجاد المساحات المتبقية Abcd Is A Square Area Of Ecf 5 Find The Remaining Areas Https T Co Wxhqxamlbg

أ محسن الشهراني בטוויטר سباق الرياضيات سؤال خفيف الشكل Abcd مربع مساحة المثلث Ecf تساوي 5 المطلوب ايجاد المساحات المتبقية Abcd Is A Square Area Of Ecf 5 Find The Remaining Areas Https T Co Wxhqxamlbg

Uzivatel أ محسن الشهراني Na Twitteru سباق الرياضيات سؤال من الأخ Meshal30221

Uzivatel أ محسن الشهراني Na Twitteru سباق الرياضيات سؤال من الأخ Meshal30221

Source : pinterest.com